HSC 2012-14 MX2 Integration Marathon (archive) (3 Viewers)

Status
Not open for further replies.
Joined
Sep 20, 2010
Messages
2,219
Gender
Undisclosed
HSC
2012
Re: MX2 Integration Marathon

Geddit. EHEHEHEHEHEHHHEEEHEH
 

Sy123

This too shall pass
Joined
Nov 6, 2011
Messages
3,725
Gender
Male
HSC
2013
Re: MX2 Integration Marathon



So this is forbidden and incorrect?
Yes it is definitely correct, but note that what you used in your working out was sin(u) not sin(2u) like you have now.
 

Sy123

This too shall pass
Joined
Nov 6, 2011
Messages
3,725
Gender
Male
HSC
2013
Re: MX2 Integration Marathon



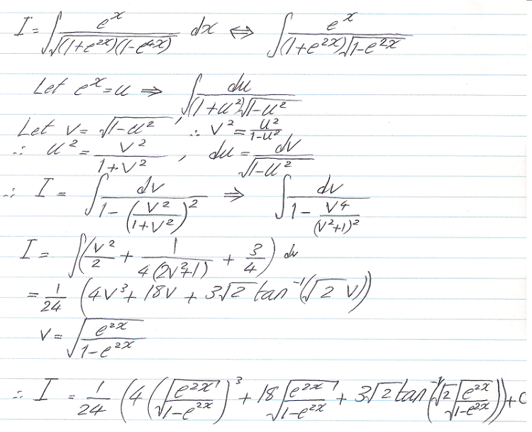
Is this correct?
Maybe, sorry for being annoying but for this one I didn't do the question that gave out, I just look at it, determine what strategy should be used, deem if its possible etc etc, then post it. (only for integrals)

In this case, I would decide to do u=e^x, since du comes out easily. Then do partial fractions with the square root to split it up, then the substitution u = sin v, then from then on we have a trig integral, which might be computed with t=tanx/2 then partial fractions.
Or perhaps there is an easier way, I think I have stuffed up differentiating asin(e^x) - acos(e^x) + atan(e^x).

And Makematics already posted a solution on the previous page, maybe you should have a look at it?
 
Joined
May 4, 2013
Messages
110
Gender
Male
HSC
N/A
Re: MX2 Integration Marathon

Maybe, sorry for being annoying but for this one I didn't do the question that gave out, I just look at it, determine what strategy should be used, deem if its possible etc etc, then post it. (only for integrals)

In this case, I would decide to do u=e^x, since du comes out easily. Then do partial fractions with the square root to split it up, then the substitution u = sin v, then from then on we have a trig integral, which might be computed with t=tanx/2 then partial fractions.
Or perhaps there is an easier way, I think I have stuffed up differentiating asin(e^x) - acos(e^x) + atan(e^x).

And Makematics already posted a solution on the previous page, maybe you should have a look at it?
I did it using the trig substitution, but I'm just wondering if it can be done using the Abel transform
 
Last edited:

Makematics

Well-Known Member
Joined
Mar 26, 2013
Messages
1,824
Location
Sydney
Gender
Male
HSC
2013
Re: MX2 Integration Marathon

Guys I realised my answer to the question was wrong, i stuffed up a step and realised i cant get it. wanna give it a try? seems like a good question. i reduced it to a certain point but am now stuck :/
 

ayecee

Member
Joined
Mar 21, 2013
Messages
71
Gender
Male
HSC
2013
Re: MX2 Integration Marathon

Here's a nice one, It's part 2 that's giving me trouble. Anyone wana give it a shot?
IMG_2356.jpg
 

Sy123

This too shall pass
Joined
Nov 6, 2011
Messages
3,725
Gender
Male
HSC
2013
Re: MX2 Integration Marathon

http://i.imgur.com/JoNxwD2.png[img][/QUOTE]

Nice work.

[quote="ayecee, post: 6334624"]Here's a nice one, It's part 2 that's giving me trouble. Anyone wana give it a shot?
[ATTACH]28104[/ATTACH][/QUOTE]

[tex]$First denote from the previous part$ [/tex]

[tex]I_k = \int_0^{\pi/2} \cos x \sin^{2k}x \ dx = \frac{1}{2k+1} [/tex]

[tex]$ii)$ [/tex]

[tex]J = \int_{0}^{\pi/2} \cos x \cos^{2n}x \ dx = \int_0^{\pi /2} \cos x (1-\sin^2 x)^n \ dx [/tex]

[tex]$By the binomial theorem$ [/tex]

[tex]J = \int_{0}^{\pi /2} \cos x -\binom{n}{1} \cos x \sin^2 x + \binom{n}{2} \cos x \sin^4 x - \dots + (-1)^n \binom{n}{n} \cos x \sin^{2n}x \ dx [/tex]

[tex]J = I_0 - \binom{n}{1} I_1 + \binom{n}{2} I_n - \dots + (-1)^n \binom{n}{n} I_n [/tex]

[tex]J = \sum_{k=0}^{n} (-1)^k I_k \binom{n}{k} \equiv \sum_{k=0}^{n} \frac{(-1)^k}{2k+1} \binom{n}{k} [/tex]

==========================

[tex]$Prove that$ [/tex]

[tex]\int_0^1 \frac{x^4 (1-x)^4}{1+x^2} = \frac{22}{7} - \pi [/tex]

[tex]$Hence prove that$ \ \ \frac{22}{7} \ \ $exceeds$ \ \ \pi [/tex]
 
Last edited:
Joined
Sep 20, 2010
Messages
2,219
Gender
Undisclosed
HSC
2012
Re: MX2 Integration Marathon

What's even easier is make a substitution u=sinx and then you'll end up with bound of 0 and 1, with (1-u^2)^n which is easier to see where the binomials come in.
 

ayecee

Member
Joined
Mar 21, 2013
Messages
71
Gender
Male
HSC
2013
Re: MX2 Integration Marathon

What's even easier is make a substitution u=sinx and then you'll end up with bound of 0 and 1, with (1-u^2)^n which is easier to see where the binomials come in.
That's what I did, then I didn't know what to do, havnt done binomial yet... I had a feeling it did due to the answer
 
Status
Not open for further replies.

Users Who Are Viewing This Thread (Users: 0, Guests: 3)

Top