• Congratulations to the Class of 2025 on your results!
    Let us know how you went here
    Got a question about your uni preferences? Ask us here

HSC 2015 MX1 Marathon (archive) (1 Viewer)

Status
Not open for further replies.

SammyT123

Active Member
Joined
Nov 16, 2014
Messages
358
Gender
Male
HSC
2016
Re: HSC 2015 3U Marathon

I cannot view whatever is in post 358, did you take the screenshot and manually upload it to photobucket?


Sent from my iPhone using Tapatalk
 

davidgoes4wce

Well-Known Member
Joined
Jun 29, 2014
Messages
1,871
Location
Sydney, New South Wales
Gender
Male
HSC
N/A
Re: HSC 2015 3U Marathon

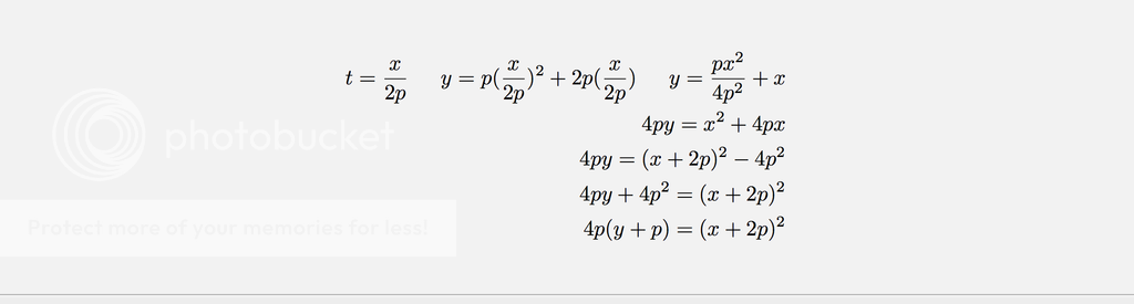
Here is another link from html if you want to see the question

<a href="http://s571.photobucket.com/user/Tran_David/media/Screen%20Shot%202015-07-04%20at%209.48.51%20pm_zps6p3eqhf9.png.html" target="_blank"><img src="http://i571.photobucket.com/albums/ss157/Tran_David/Screen%20Shot%202015-07-04%20at%209.48.51%20pm_zps6p3eqhf9.png" border="0" alt=" photo Screen Shot 2015-07-04 at 9.48.51 pm_zps6p3eqhf9.png"/></a>
 

InteGrand

Well-Known Member
Joined
Dec 11, 2014
Messages
6,089
Gender
Male
HSC
N/A
Re: HSC 2015 3U Marathon

I cannot view whatever is in post 358, did you take the screenshot and manually upload it to photobucket?


Sent from my iPhone using Tapatalk
Maybe you can't see it because you're on Tapatalk.
 

SammyT123

Active Member
Joined
Nov 16, 2014
Messages
358
Gender
Male
HSC
2016
Re: HSC 2015 3U Marathon

Maybe you can't see it because you're on Tapatalk.
Yes , that's the problem :p

I can see latex on other forums , just not this one . I have contacted mods.


Sent from my iPhone using Tapatalk
 

davidgoes4wce

Well-Known Member
Joined
Jun 29, 2014
Messages
1,871
Location
Sydney, New South Wales
Gender
Male
HSC
N/A
Re: HSC 2015 3U Marathon

No offence but if you are learning this subject in a 1-2 year time frame, there are so many traps, tricks etc. But I'm picking them up slowly as I get along.
 

Speed6

Retired '16
Joined
Jul 31, 2014
Messages
2,942
Gender
Male
HSC
N/A
Re: HSC 2015 3U Marathon

The geniuses on this thread are always helping David, ask away and they shall be ready for a challenge.
 
Status
Not open for further replies.

Users Who Are Viewing This Thread (Users: 0, Guests: 1)

Top