davidgoes4wce
Well-Known Member
Re: International Baccalaureate Marathon 2016
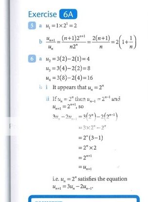
Maths SL Cambridge Ex 6A Q6

This was the solution:

Now where I was stuck on was part (b) (ii)
I did it a slightly different way, when looking at the RHS
Like the book I assumed:

The only difference where I didn't understand was this step, I included the 2 in front of the bracket as mentioned in the question
 )


 )

Maths SL Cambridge Ex 6A Q6

This was the solution:

Now where I was stuck on was part (b) (ii)
I did it a slightly different way, when looking at the RHS
Like the book I assumed:
The only difference where I didn't understand was this step, I included the 2 in front of the bracket as mentioned in the question

